1. Electric potential
+q1, +q2라는 charge가 있다고 해보자, 내가 +q1으로부터 +q2를 거리 R까지 +q2에 운동에너지(가속도)를 주지 않고 옮기려면, 무한한 거리에서부터 R까지 정확히 Coulomb's force와 동일한 크기의 힘을 가하면서 옮겨야 한다. 마치 스프링을 압축시키는것과 같다.

이것을 계산하면 다음과 같다.

만약, q2가 unit charge이고, q1 = Q라면

이러한 J/C의 단위를 Volts라고 부르고 electric potential를 나타낸다.
2. Sphere's eletric potential
만약, charge Q = +10μC 이 R = 0.3m인 sphere에 uniformly distributed되어있다고 해보자.
Sphere외부에 있는 charge를 sphere의 중심으로부터 r (r >= R)만큼 떨어진 위치로 옮길 때, sphere의 surface까지 옮기면(r = R) eletric potential은 300000volts이다. 1C만 옮기려고 해도 매우매우 큰 에너지가 필요할 것이고, 만약 r이 R보다 훨씬 크다면 0 volts에 가까워 진다.
Sphere내부에 있는 charge를 sphere의 내부에서 옮길 경우, 내부의 Electric field = 0 이므로, 내부에서 움직이는데 어떠한 Energy도 들지 않는다. 따라서, 내부의 경우 surface에서의 electric potential인 300000volts가 된다.
3. Electric potential for multiple charge
공간상에 여러 전하 Q1, Q2가 있는 경우 특정위치에서 전체 electric potential은 각각에 대한 electric potential의 합과 같다.
4. Equipotential lines
Electric potential이 같은 부분을 line으로 연결한 것이 Equipotential line이다. Electric field는 equipotential line과 수직이다. 참고로 Eletric field가 0이라고 해서, electric potential이 0인 것은 아니다.

서로 다른 electric potential을 가진 equipotential line은 절대 서로 겹치지 않는다.
두 +와 -를 함께 놓을 경우, electric potential이 0이 되는 부분이 있을 수 있는데, 해당 위치까지 옮기는데 드는 work = 0 이라는 뜻과 같게 된다.
5. Conservation of energy
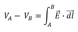
A, B charge가 R만큼 서로 떨어져있을 때, A, B의 potential은 다음과 같다.

A, B의 위치에 charge를 놓기 위한 경로는 직선경로라고 정해져있지 않으므로, 경로는 다음과 같을 수 있다.

즉, A와 B의 potential차이는 다음과 같이 쓸 수 있다.

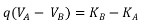
Positive charge는 higher potential에 lower potential로 가려는 경향이 있다.
반대로 Negative charge는 lower potential에서 highter potential로 가려는 경향이 있다.
따라서, potential energy의 차이가 charge를 이동시키는 것으로 볼 수도 있다.
charge +q가 A에서 B로 이동할 경우, . conservation of energy에 의해 potential energy는 kinetic energy로 변환된다.

이것이 중요한 이유는, 우리가 두 지점의 potential 차이를 알 경우, 사이의 Electric field의 복잡한 계산없이도, 한 지점에서 다른 지점으로 charge를 이동했을 때 kinetic energy를 계산해 낼 수 있다는 것이다.
'프로그래밍 > Elecricity and Magnetics' 카테고리의 다른 글
| 6. High-voltage breakdown & Lightning (0) | 2024.06.15 |
|---|---|
| 5. Grad V & Electrostatic Shielding (0) | 2024.06.01 |
| 3. Electric flux (0) | 2024.05.22 |
| 2. Electric Field (0) | 2024.05.15 |
| 1. Electric Charges and Forces (0) | 2024.05.13 |